首頁 >> 產品中心 >> 散熱器(參數及尺寸) >> SRL型散熱器
SRL型散熱器
SRL型散熱器
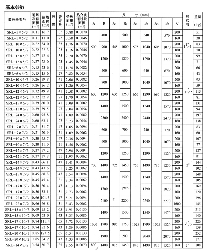
SRL型散熱器共有37種規格,該散熱器是應用雙金屬鋁翅片管束組成,故鋁片與鋼管接觸緊密,接觸熱阻低,散熱性能好,使用可靠。
SRL型散熱器以導熱油、蒸汽或過熱水為熱煤,蒸汽壓力最高為6Kg/c㎡米,過熱水溫度為130℃適用于紡織、印染、木材加工、糧油食品等行業的空氣加熱及調節。
SRL型散熱器在順氣流方向分二排管與三排管排列,其型號舉例如下:
SRL-5×5/2——順氣流方向二排管交叉排列。
SRL-5×5/3——順氣流方向三排管交叉排列。




